批量歸一化在深度學習訓練中的作用和實現方法(fa)
時間:2024-12-24 來源(yuan):華(hua)清遠見
引言
隨著(zhu)深度學習(xi)模型(xing)的(de)(de)(de)不斷復雜(za)化(hua)(hua),如何高效(xiao)地訓練這些模型(xing)成為了研(yan)究者們關注的(de)(de)(de)重(zhong)點。批(pi)量歸一化(hua)(hua)(Batch Normalization, BN)作為一種有效(xiao)的(de)(de)(de)技(ji)術(shu)手段,不僅能(neng)(neng)(neng)夠加速模型(xing)的(de)(de)(de)訓練過(guo)程(cheng),還能(neng)(neng)(neng)提高模型(xing)的(de)(de)(de)泛化(hua)(hua)能(neng)(neng)(neng)力。本文將詳細介紹批(pi)量歸一化(hua)(hua)的(de)(de)(de)作用及其在深度學習(xi)訓練中的(de)(de)(de)實現方法。
批量歸一化的作用
1. 減少內(nei)部協(xie)變量偏(pian)移: 在深(shen)度(du)神經網絡中(zhong),每一層的(de)輸入分布都(dou)會因為前(qian)面層參數(shu)的(de)變化(hua)(hua)而(er)變化(hua)(hua),這(zhe)種現象被稱為內(nei)部協(xie)變量偏(pian)移。批量歸一化(hua)(hua)通過標準化(hua)(hua)每一層的(de)輸入,使(shi)得(de)模型對參數(shu)初始化(hua)(hua)的(de)敏感度(du)降低,從而(er)有助于加(jia)速模型收(shou)斂。
2. 加速(su)(su)訓練過(guo)程(cheng):通(tong)過(guo)減少梯度消失(shi)或(huo)爆炸的(de)問題(ti),批量歸(gui)一化(hua)可以使(shi)得訓練過(guo)程(cheng)更(geng)加平穩,允許使(shi)用(yong)更(geng)高(gao)的(de)學(xue)習(xi)率,進一步(bu)加快訓練速(su)(su)度。
3. 增強模型泛化能力:歸一(yi)化操作可以幫助(zhu)模型更好地(di)從訓練數(shu)據(ju)中(zhong)學(xue)習到(dao)有(you)用的(de)(de)信(xin)息,減少過擬合(he)的(de)(de)風(feng)險(xian),從而提(ti)高模型在未見數(shu)據(ju)上的(de)(de)表(biao)現(xian)。
4. 簡化(hua)超(chao)參數選(xuan)(xuan)擇:由于BN層的存(cun)在,對于激活(huo)函數的選(xuan)(xuan)擇、權重初始化(hua)等超(chao)參數的選(xuan)(xuan)擇變(bian)得更加靈活(huo),減少(shao)了調參的工作量。
批量歸一化的實現方法
批量歸一化的數學表達式如下:
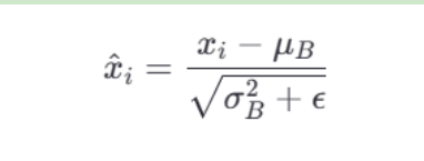
給定一個小批量的(de)(de)數據 x={x1,x2,...,xm},其中 m 是(shi)小批量的(de)(de)大(da)小。首(shou)先計(ji)算該小批量數據的(de)(de)均值 μB 和(he)方(fang)差 ��2σB

接著,利用這兩(liang)個統(tong)計量對每個樣(yang)本(ben)進(jin)行歸一化處理:

這里(li) E是一個很小的(de)常(chang)數(shu),用于(yu)防(fang)止除零錯誤。最后,為了(le)恢(hui)復模型的(de)學(xue)習能力,引入兩個可學(xue)習參數(shu) Y 和(he) B,分(fen)別用來縮放和(he)位移歸一化(hua)后的(de)數(shu)據:

在(zai)訓練過(guo)程中,這些統計信息(均(jun)值和方(fang)差)是針對每(mei)個小批量數據(ju)計算的(de);而在(zai)測試(shi)階段,則通常使用(yong)整個訓練集的(de)均(jun)值和方(fang)差來代替,以保證模型輸(shu)出的(de)一致性。
實現技巧
動(dong)量更新:在(zai)實際應用中,通(tong)常(chang)會(hui)采(cai)用動(dong)量法來累積(ji)移(yi)動(dong)平均值和方差,以便更好地估計整個(ge)訓練集的統計特性。
選擇合適的 E值(zhi):雖然 \(\epsilon\) 的默認值(zhi)通(tong)常足(zu)夠好,但在某些情(qing)況下調整此值(zhi)可能有助于改善模型性能。
放(fang)(fang)置(zhi)(zhi)位置(zhi)(zhi):BN 層(ceng)通常放(fang)(fang)置(zhi)(zhi)在激活函(han)數(shu)之(zhi)前(qian)或之(zhi)后,這(zhe)取決于(yu)具體的網絡結(jie)構和任(ren)務需求。實踐中發現,在激活函(han)數(shu)前(qian)使用(yong)BN效果更好。
結論
批(pi)量(liang)歸一(yi)化(hua)是深(shen)度(du)(du)學習中一(yi)項非常重要的技術,它不僅能(neng)夠顯著(zhu)提升模(mo)型(xing)訓練的速度(du)(du)和穩(wen)定(ding)性,還能(neng)有效增強(qiang)模(mo)型(xing)的泛化(hua)能(neng)力(li)。正確理解和應(ying)用這一(yi)技術,對(dui)于(yu)開發高(gao)效的深(shen)度(du)(du)學習模(mo)型(xing)具有重要意義(yi)。希望本(ben)文能(neng)為(wei)讀者提供有價(jia)值的參考,助力(li)于(yu)解決實際問題。

