你必須了解的AI常用評估指標
時間:2024-02-20 來源:華清遠見
你必須了解的AI常用評估指標
一個AI模型性能的好壞,需要通過評估指標來間接地反映,因此如何選擇合適的評估指標對于一個AI模型來說顯得尤為重要,本文主要介紹了在不同AI任務當中常見的幾個評價指標。
一、分類任務
1.混淆矩陣
混淆矩陣(Confusion Matrix)是在分類問題中用于評估模型性能的表格,它展示了模型在測試數據集上的預測結果與實際標簽之間的關系。混淆矩陣是一個二維的表格,其中包含以下四個重要的指標:
(1)真正例(True Positive,TP):模型正確地將正類別樣本預測為正類別。
(2)真負例(True Negative,TN):模型正確地將負類別樣本預測為負類別。
(3)假正例(False Positive,FP):模型將負類別樣本錯誤地預測為正類別。
(4)假負例(False Negative,FN):模型將正類別樣本錯誤地預測為負類別。

2. 準確度(Accuracy):
模型正確預測的樣本占總樣本數的比例,計算方法為 :
3. 精確度(Precision):
正類別的預測正確率,計算方法為:
4. 召回率(Recall):
正類別樣本被正確預測的比例,計算方法為:
5. F1 分數(F1-Score):
精確度和召回率的調和平均值,計算方法為 :
6.ROC曲線:
ROC 曲線描述了在不同分類閾值下真正例率(True Positive Rate,又稱為召回率)和假正例率(False Positive Rate)之間的權衡關系。
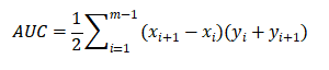
7.AUC:
AUC 表示 ROC 曲線下的面積,取值范圍在 0 到 1 之間。AUC 值越高,說明模型在不同分類閾值下的性能越好。完美分類器的 AUC 為 1,隨機分類器的 AUC 約為 0.5。AUC 可以理解為在隨機選擇一個正例和一個負例的情況下,模型正確預測正例的概率高于正確預測負例的概率的程度。因此,AUC 提供了對模型整體性能的綜合評估。
8.PR曲線:
PR 曲線(Precision-Recall Curve)是用于評估二分類問題性能的一種圖形工具。與 ROC 曲線關注真正例率(True Positive Rate)和假正例率(False Positive Rate)不同,PR 曲線關注的是精確率(Precision)和召回率(Recall)之間的權衡關系。
PR 曲線可以幫助評估模型在不同分類閾值下的性能。曲線越靠近右上角,說明模型在保持高精確率的同時能夠獲得較高的召回率,即在正例樣本中盡可能多地識別為正例。
二、回歸任務
在回歸問題中,常見的模型評估指標包括以下幾個:
1. 均方誤差(Mean Squared Error,MSE):
計算預測值與實際值之間的平方差的平均值,MSE 越小越好,其計算公式為:
2. 均方根誤差(Root Mean Squared Error,RMSE):
是均方誤差的平方根,用于提供與實際值相同的度量單位,RMSE 越小越好,其計算公式為:
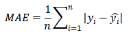
3. 平均絕對誤差(Mean Absolute Error,MAE):
計算預測值與實際值之間的絕對差的平均值,MAE 越小越好,其計算公式為:
4. R 2分數(R-squared):
R2分數用于表示模型解釋方差的比例,取值范圍是[-1,1],R2的值越接近1,說明模型的擬合能力越好,其詳細的計算公式如下:
式中,表示實際的均值。

