批歸(gui)一化(hua)(Batch Normalization)在深度學習中(zhong)的(de)作用
時間(jian):2025-01-09 來源:華(hua)清遠見
在深(shen)度(du)(du)學習(xi)的研究和應(ying)用中(zhong),神經(jing)網(wang)絡(luo)模(mo)型(xing)的訓(xun)(xun)練過程常(chang)常(chang)充滿挑戰(zhan)。隨著網(wang)絡(luo)層數的加(jia)深(shen),訓(xun)(xun)練深(shen)度(du)(du)神經(jing)網(wang)絡(luo)時(shi)經(jing)常(chang)出現梯度(du)(du)消(xiao)失或(huo)梯度(du)(du)爆炸的問題,導(dao)致訓(xun)(xun)練速度(du)(du)緩慢,甚(shen)至無法收斂(lian)。為了解決這(zhe)一問題,批歸一化(Batch Normalization, BN)應(ying)運而生,它不僅能夠加(jia)速網(wang)絡(luo)的訓(xun)(xun)練過程,還能提高(gao)模(mo)型(xing)的穩定性(xing)和泛化能力。
本(ben)文將詳細探討(tao)批歸一化的工作原理、在深度學習(xi)中的作用(yong),以及它(ta)在實際應用(yong)中的優(you)勢(shi)與挑戰。
一(yi)、批歸一(yi)化(hua)的(de)工作原理(li)
批(pi)歸一(yi)化(BN)最(zui)初由Sergey Ioffe和Christian Szegedy在2015年提出,它的核心思想是(shi)在每(mei)一(yi)層(ceng)的輸入(ru)數據上進行(xing)標準化,使得每(mei)層(ceng)的輸入(ru)具有(you)相同的分布特征。這一(yi)操(cao)作(zuo)可以(yi)有(you)效地(di)緩解神經網絡訓練(lian)中的一(yi)些常見問(wen)題。
1.1 BN的(de)基本步驟
在傳統(tong)的(de)(de)(de)神(shen)經網(wang)(wang)絡中,每層(ceng)(ceng)的(de)(de)(de)輸入可能會受到(dao)前一層(ceng)(ceng)輸出的(de)(de)(de)影(ying)響,使得數(shu)據分(fen)布發生變(bian)化,尤其是在網(wang)(wang)絡層(ceng)(ceng)數(shu)較深時,這(zhe)種變(bian)化可能非(fei)常劇(ju)烈,導致訓練變(bian)得困難。批歸(gui)一化的(de)(de)(de)主要目(mu)的(de)(de)(de)是規范化每一層(ceng)(ceng)的(de)(de)(de)輸入,使得它們具有統(tong)一的(de)(de)(de)均值和(he)方差(cha)。
具體來(lai)說,批歸一(yi)化的(de)過(guo)程可以(yi)分(fen)為以(yi)下幾個步驟:
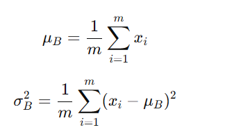
1.計(ji)算每(mei)一層輸入(ru)的均值和方差
對于輸入數據
計(ji)算該批(pi)次(ci)(batch)數據的(de)均值(zhi)和方(fang)差:

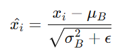
標準化(hua)處(chu)理:用均值和方差對輸(shu)入(ru)進行標準化(hua),使得輸(shu)出數據的(de)均值為0,方差為1:

2. 引入可學習參數:為了保留模型的表(biao)達能力,批歸一化引入了兩個可學習的參數 γ 和 β 分別用于(yu)對(dui)標(biao)準(zhun)化結果進行縮(suo)放和偏(pian)移:

其中,γ 和 β 是在訓練過(guo)程中學習到的參數,允許(xu)模型恢(hui)復到沒有歸一化的形(xing)式(shi),或根據需求調(diao)整數據的分布。
1.2 訓(xun)練與測試階段的區別(bie)
在訓練階(jie)段,BN是基于當前批次(ci)的(de)均值和(he)方(fang)(fang)差進行(xing)標準化(hua)處理(li)。然而,在測試階(jie)段,由于數據的(de)批量較小(通常(chang)是單個樣本),無法使(shi)用(yong)當前樣本的(de)均值和(he)方(fang)(fang)差。因(yin)此,在測試時,BN使(shi)用(yong)訓練階(jie)段計算出的(de)全局(ju)均值和(he)方(fang)(fang)差進行(xing)歸(gui)一化(hua),從而確(que)保模型在推理(li)時的(de)穩定性。
二、批歸(gui)一化的(de)作用
批(pi)歸(gui)一(yi)化(hua)在深度學習中(zhong)發(fa)揮了多(duo)重作(zuo)用,主要包括以下幾個方面(mian):
2.1 加速訓練
批歸一(yi)化的(de)(de)一(yi)個(ge)顯著優點是能(neng)夠顯著加速深度(du)神經網絡的(de)(de)訓練(lian)(lian)過(guo)程。這是因為,BN通過(guo)將每一(yi)層(ceng)的(de)(de)輸(shu)入(ru)數(shu)據規范化,使得其具有(you)統一(yi)的(de)(de)分布(bu),避免了(le)(le)(le)“內部協(xie)變量(liang)偏移”(Internal Covariate Shift)。在沒有(you)BN的(de)(de)情況下(xia),隨著網絡的(de)(de)訓練(lian)(lian),前(qian)面一(yi)層(ceng)的(de)(de)權重(zhong)更新(xin)會改變后(hou)續(xu)層(ceng)的(de)(de)輸(shu)入(ru)分布(bu),這會導致后(hou)續(xu)層(ceng)需要重(zhong)新(xin)調整權重(zhong),訓練(lian)(lian)過(guo)程變得更加緩慢。而(er)有(you)了(le)(le)(le)BN之(zhi)后(hou),每層(ceng)的(de)(de)輸(shu)入(ru)分布(bu)保持穩定(ding),從而(er)使得網絡能(neng)夠以更大的(de)(de)學習(xi)率(lv)進行訓練(lian)(lian),顯著提高(gao)了(le)(le)(le)訓練(lian)(lian)速度(du)。
2.2 緩解(jie)梯(ti)度消失和(he)梯(ti)度爆炸
梯(ti)(ti)度(du)(du)消失和(he)梯(ti)(ti)度(du)(du)爆炸(zha)是深(shen)度(du)(du)網絡訓練中常見的(de)(de)現象,尤其是在(zai)深(shen)度(du)(du)網絡或長(chang)序(xu)列(lie)的(de)(de)情況下(xia)。批歸一化通過保持每層輸(shu)入的(de)(de)均值為(wei)0、方差為(wei)1,有(you)效減(jian)少了輸(shu)入數據的(de)(de)偏移,使得梯(ti)(ti)度(du)(du)在(zai)反向傳播時更加平穩(wen)。這樣,網絡可(ke)以(yi)在(zai)較大的(de)(de)梯(ti)(ti)度(du)(du)下(xia)進行(xing)訓練,減(jian)小了梯(ti)(ti)度(du)(du)消失的(de)(de)風(feng)險(xian)。
2.3 提高模型的泛化能力
批(pi)歸一(yi)化(hua)(hua)還可以有效(xiao)地提(ti)高(gao)模(mo)(mo)型的泛(fan)化(hua)(hua)能力。雖(sui)然(ran)BN引入了額(e)外的噪聲(每個批(pi)次的均值和方差(cha)會有所波動(dong)),但是這(zhe)種噪聲可以在一(yi)定程度上起(qi)到正則化(hua)(hua)的作用,避免了過擬合(he)。實際上,BN常(chang)(chang)常(chang)(chang)能讓模(mo)(mo)型在較少的正則化(hua)(hua)方法(如Dropout)的情況(kuang)下(xia),也(ye)能獲得較好的泛(fan)化(hua)(hua)性(xing)能。
2.4 允許(xu)更高的學習率
由于(yu)批歸一化使(shi)得(de)每一層的(de)(de)輸入分布穩定,因此(ci)可以(yi)(yi)使(shi)用較大的(de)(de)學(xue)習(xi)率(lv)(lv)(lv)進行訓練。較大的(de)(de)學(xue)習(xi)率(lv)(lv)(lv)可以(yi)(yi)加速模型的(de)(de)收斂,同時避免(mian)了學(xue)習(xi)率(lv)(lv)(lv)過低(di)導致(zhi)的(de)(de)訓練緩慢的(de)(de)問(wen)題。
2.5 改善(shan)初始化(hua)
在沒有批歸(gui)一化(hua)時,網絡的參數(shu)初始(shi)化(hua)是非常關鍵的,錯(cuo)誤(wu)的初始(shi)化(hua)可能(neng)導致梯度消失(shi)或爆炸。然(ran)而,批歸(gui)一化(hua)可以減少對初始(shi)化(hua)的敏感性,因為(wei)它能(neng)夠有效地規范化(hua)每(mei)一層(ceng)的輸(shu)入,從而降(jiang)低了初始(shi)化(hua)的影響。
三(san)、批歸一化的局限性和(he)挑(tiao)戰
盡管(guan)批歸(gui)一化在(zai)深度學習中(zhong)具有顯著優勢,但(dan)它也存在(zai)一些局限性(xing)和(he)挑戰。
3.1 對小批量(liang)數據的(de)依賴
批(pi)(pi)歸一化需(xu)要依賴批(pi)(pi)次數據的(de)均值和(he)方差進行標準化,因此在處理小(xiao)(xiao)批(pi)(pi)量(liang)數據時,統計量(liang)可能不穩定(ding),導致性(xing)能下(xia)(xia)降。在極小(xiao)(xiao)批(pi)(pi)量(liang)(如batch size=1)或在線學習的(de)情況下(xia)(xia),BN的(de)效果會大打折扣。
3.2 計算(suan)開銷
批(pi)歸一化引入(ru)了(le)額外的計算(suan)和(he)內存開銷(xiao),特別是在(zai)(zai)每一層(ceng)都需要計算(suan)均值(zhi)和(he)方差(cha)時。在(zai)(zai)深度網絡和(he)大規模數據集上(shang),計算(suan)和(he)存儲這些(xie)統計量會增加額外的計算(suan)成本(ben),盡管這種(zhong)開銷(xiao)通常可以忽略不計。
3.3 在某些任務中的不適用(yong)性
盡(jin)管批歸一化(hua)在許(xu)多任務中(zhong)表現(xian)(xian)出(chu)色,但在某些(xie)特(te)定的(de)應用場景下(xia),它可(ke)(ke)能并不(bu)是最佳(jia)選擇。例(li)如,在循環神(shen)經網絡(RNN)中(zhong),由(you)于(yu)其(qi)處(chu)理序列數據的(de)特(te)殊性,BN的(de)應用效果可(ke)(ke)能不(bu)如在卷積神(shen)經網絡(CNN)中(zhong)的(de)表現(xian)(xian)。為了(le)解決這個問題,一些(xie)研究(jiu)者(zhe)提(ti)出(chu)了(le)層歸一化(hua)(Layer Normalization)和組歸一化(hua)(Group Normalization)等(deng)改進方法。
3.4 依賴訓(xun)練(lian)集的(de)統計量
批歸一化在訓(xun)(xun)練(lian)時依賴當前批次(ci)的(de)數據(ju)統計量,而這些統計量可(ke)能(neng)(neng)無法完(wan)全(quan)代表整個訓(xun)(xun)練(lian)集的(de)分布,這可(ke)能(neng)(neng)導致在訓(xun)(xun)練(lian)集變化較(jiao)大的(de)時候,模(mo)型(xing)的(de)性能(neng)(neng)有所下降。
四、批歸一化的變種與擴展
為(wei)了(le)(le)克(ke)服BN的(de)某些局限性,研究人員提出了(le)(le)許(xu)多改進和變種,以下是其中幾種重(zhong)要的(de)變種:
1. 層歸一(yi)(yi)化(hua)(Layer Normalization):與批歸一(yi)(yi)化(hua)不同,層歸一(yi)(yi)化(hua)是(shi)對每一(yi)(yi)個樣本的(de)(de)所有特征進行歸一(yi)(yi)化(hua)處理,而不是(shi)在一(yi)(yi)個批次內進行歸一(yi)(yi)化(hua)。層歸一(yi)(yi)化(hua)通常用于循(xun)環(huan)神經(jing)網絡(RNN)中,它(ta)能夠緩解(jie)BN在小批量數據上的(de)(de)表(biao)現(xian)不佳的(de)(de)問題。
2. 組(zu)歸(gui)一化(hua)(Group Normalization):組(zu)歸(gui)一化(hua)是將特征分成多個小(xiao)組(zu),在每(mei)個小(xiao)組(zu)內(nei)進行標準化(hua)。與批歸(gui)一化(hua)不(bu)同,組(zu)歸(gui)一化(hua)不(bu)依賴于批次大小(xiao),因此在小(xiao)批量(liang)學習中(zhong)也能(neng)有效工作。
3. 實(shi)例(li)歸一化(Instance Normalization):實(shi)例(li)歸一化通常用于圖像(xiang)生成任(ren)務(wu)中(如生成對(dui)抗網絡),它是對(dui)每個(ge)圖像(xiang)的每個(ge)通道進行標準化處理,有助于去除(chu)樣式(shi)的影響(xiang)。
五、總結
批歸一(yi)(yi)化(hua)(hua)(Batch Normalization)是深(shen)度學習(xi)中一(yi)(yi)個重要(yao)的(de)技(ji)(ji)術(shu),它(ta)通過(guo)規范化(hua)(hua)每一(yi)(yi)層的(de)輸入數據(ju)(ju),使得網絡(luo)訓練(lian)更(geng)加穩定,加速了(le)收斂過(guo)程(cheng),并且在(zai)一(yi)(yi)定程(cheng)度上改善(shan)了(le)模型(xing)的(de)泛化(hua)(hua)能力。盡管(guan)它(ta)存在(zai)一(yi)(yi)些局限性(xing),如對(dui)小(xiao)批量(liang)數據(ju)(ju)的(de)依賴以(yi)及計算開銷問(wen)題,但它(ta)仍然是現代深(shen)度神(shen)經網絡(luo)中不可或缺的(de)技(ji)(ji)術(shu)之(zhi)一(yi)(yi)。在(zai)未來,隨著對(dui)神(shen)經網絡(luo)訓練(lian)技(ji)(ji)術(shu)的(de)不斷(duan)探索,批歸一(yi)(yi)化(hua)(hua)及其變(bian)種將在(zai)更(geng)多應用(yong)場(chang)景中發揮更(geng)大的(de)作用(yong)。

