|  | |
| 嵌入式linux內核數據結構之單向鏈表 | |
| 在(zai)嵌(qian)入式linux內核中(zhong),鏈(lian)表是一種(zhong)常見的(de)重要(yao)數(shu)(shu)據結(jie)構,它(ta)可以(yi)動態地(di)進行存儲(chu)分配,根(gen)據需(xu)要(yao)開辟內存單元,還可以(yi)方(fang)便地(di)實現數(shu)(shu)據的(de)增(zeng)加和刪除。鏈(lian)表中(zhong)的(de)每個元素都由兩部分組成:數(shu)(shu)據域(yu)和指針域(yu)。 其(qi)中,數據域(yu)用(yong)(yong)于存儲數據元素(su)的(de)信息,指針域(yu)用(yong)(yong)于存儲該(gai)元素(su)的(de)直接后(hou)繼元素(su)的(de)位(wei)置。其(qi)整體結構就是用(yong)(yong)指針相鏈接起來的(de)線性(xing)表,如圖1.1所示(shi)。 
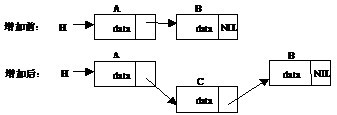
 由(you)圖中,大(da)家可以清楚(chu)地(di)看(kan)到,每(mei)個(ge)鏈(lian)表都有(you)一(yi)個(ge)頭(tou)指(zhi)針(zhen)Head,其(qi)用于指(zhi)示鏈(lian)表中第一(yi)個(ge)節點(dian)的存儲位置。之后(hou),鏈(lian)表由(you)第一(yi)個(ge)節點(dian)指(zhi)向(xiang)第二個(ge)節點(dian),依此類(lei)推。鏈(lian)表的后(hou)一(yi)個(ge)數據元素由(you)于沒有(you)直接后(hou)繼節點(dian),因此其(qi)節點(dian)的指(zhi)針(zhen)為空(kong)(NULL)。本文主要介紹的是單(dan)項鏈(lian)表! 1、 單鏈表的組織與存儲 單向鏈表的每(mei)個節點中除(chu)信息(xi)域(yu)(yu)以外還有一(yi)(yi)個指(zhi)針域(yu)(yu),用來(lai)指(zhi)向其后續節點,其后一(yi)(yi)個節點的指(zhi)針域(yu)(yu)為空(kong)(NULL)。 單向(xiang)(xiang)鏈(lian)表(biao)(biao)由頭指(zhi)針(zhen)惟(wei)一(yi)確定,因此單向(xiang)(xiang)鏈(lian)表(biao)(biao)可(ke)以用頭指(zhi)針(zhen)的名字來命名,頭指(zhi)針(zhen)指(zhi)向(xiang)(xiang)單向(xiang)(xiang)鏈(lian)表(biao)(biao)的第一(yi)個節點。 在用C語言實(shi)現時,首先說明一個結構類型,在這(zhe)個結構類型中包含一個(或多個)信(xin)息成(cheng)(cheng)員(yuan)以(yi)及一個指針成(cheng)(cheng)員(yuan)如下所示:     typedef struct _link_node 鏈表結構(gou)(gou)中(zhong)包含指(zhi)(zhi)針(zhen)(zhen)型(xing)(xing)的結構(gou)(gou)成(cheng)員(yuan),類(lei)(lei)型(xing)(xing)為指(zhi)(zhi)向(xiang)相(xiang)同結構(gou)(gou)類(lei)(lei)型(xing)(xing)的指(zhi)(zhi)針(zhen)(zhen)。根據C語(yu)言(yan)的語(yu)法要求,結構(gou)(gou)的成(cheng)員(yuan)不能(neng)(neng)是結構(gou)(gou)自(zi)身類(lei)(lei)型(xing)(xing),即結構(gou)(gou)不能(neng)(neng)自(zi)己定義(yi)(yi)自(zi)己,因為這樣將導致一個(ge)無(wu)窮(qiong)的遞歸定義(yi)(yi),但結構(gou)(gou)的成(cheng)員(yuan)可以是結構(gou)(gou)自(zi)身的指(zhi)(zhi)針(zhen)(zhen)類(lei)(lei)型(xing)(xing),通過指(zhi)(zhi)針(zhen)(zhen)引(yin)用自(zi)身這種(zhong)類(lei)(lei)型(xing)(xing)的結構(gou)(gou)。 2、 單鏈表常見操作 (1)節點初始化 由于鏈(lian)表是一種動(dong)態分配(pei)數(shu)(shu)據的(de)(de)數(shu)(shu)據結構,因此單鏈(lian)表中各個節(jie)點(dian)的(de)(de)初始化(hua)通(tong)(tong)常使(shi)(shi)用malloc()函數(shu)(shu),把(ba)節(jie)點(dian)中的(de)(de)next指針賦為NULL,同(tong)時(shi)再把(ba)數(shu)(shu)據域的(de)(de)部分初始化(hua)為需要的(de)(de)數(shu)(shu)值,通(tong)(tong)常使(shi)(shi)用memset()函數(shu)(shu)。     int init_link(link_list *list) (2)數據查詢 在(zai)(zai)操作鏈表(biao)時,通(tong)常需(xu)要(yao)(yao)檢(jian)查在(zai)(zai)鏈表(biao)中(zhong)是(shi)否存在(zai)(zai)某種數據(ju),這(zhe)時,可以通(tong)過順序遍歷鏈表(biao)來(lai)取得(de)所需(xu)要(yao)(yao)的(de)元素(su)。     int get_element(link_list list, int i, element_type *elem) (3)鏈表的插入與刪除  鏈表的插入與刪除是鏈表中常見的操(cao)作(zuo)(zuo),也是能(neng)體現(xian)鏈表靈活性的操(cao)作(zuo)(zuo)。  在單向鏈表中(zhong)插(cha)入一個節點(dian)要引起插(cha)入位置(zhi)前面(mian)節點(dian)的(de)指(zhi)針的(de)變(bian)化,如圖1.2所示。 
     由圖中可以看出,在鏈表中增加一個節點會依次完成如下操作。     int link_insert(link_list list, int i, element_type elem) 刪除(chu)的(de)過(guo)程也類似,如圖1.3所(suo)示。 
     同樣,鏈表中元素的指針會依次有以下變化。 (4)其他操作 將(jiang)幾個單鏈表(biao)合并也是(shi)鏈表(biao)操作(zuo)中的(de)一(yi)個常(chang)見的(de)操作(zuo)之一(yi)。 下(xia)面將(jiang)兩個(ge)(ge)單(dan)鏈(lian)表(biao)根據標識符(fu)ID順(shun)序合并成一(yi)(yi)個(ge)(ge)單(dan)鏈(lian)表(biao)。在合并的(de)過程(cheng)中(zhong),實(shi)際上新(xin)(xin)建了一(yi)(yi)個(ge)(ge)鏈(lian)表(biao),然后將(jiang)兩個(ge)(ge)鏈(lian)表(biao)的(de)元(yuan)(yuan)素依次進行比較,并且(qie)將(jiang)ID較小的(de)節點(dian)插入到新(xin)(xin)的(de)鏈(lian)表(biao)中(zhong)。如果其中(zhong)一(yi)(yi)個(ge)(ge)鏈(lian)表(biao)的(de)元(yuan)(yuan)素已(yi)經(jing)全部(bu)插入,則另一(yi)(yi)個(ge)(ge)鏈(lian)表(biao)的(de)剩余(yu)操(cao)作只需順(shun)序將(jiang)剩余(yu)元(yuan)(yuan)素插入即可。 該過程如圖1.4所示: 
     void merge_list(link_list list_a, link_list list_b, link_list *list_c) 熱(re)點(dian)鏈接(jie): |